おかげさまで開設25周年BMWHAIDUONG.VN 創業祭

BMWHAIDUONG.VN

詳しくはこちら
マイストア マイストア 変更
  • 即日配送
  • 広告
  • 取置可能
  • 店頭受取

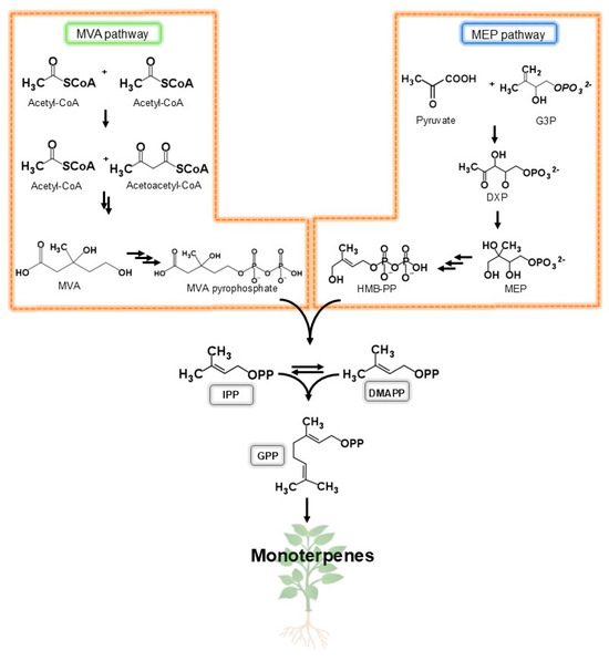
HOT ! その他 N.N Monoterpenes in Vascular Function: A Review of Bioactivity

※BMWHAIDUONG.VN 限定モデル
YouTuberの皆様に商品の使い心地などをご紹介いただいております!
紹介動画はこちら

ネット販売
価格(税込)

72000

  • コメリカード番号登録、コメリカードでお支払いで
    コメリポイント : 5ポイント獲得

コメリポイントについて

購入個数を減らす
購入個数を増やす

お店で受け取る お店で受け取る
(送料無料)

受け取り店舗:

お店を選ぶ

近くの店舗を確認する

納期目安:

13時までに注文→17時までにご用意

17時までに注文→翌朝までにご用意

受け取り方法・送料について

カートに入れる

配送する 配送する

納期目安:

2025.09.23 16:52頃のお届け予定です。

決済方法が、クレジット、代金引換の場合に限ります。その他の決済方法の場合はこちらをご確認ください。

※土・日・祝日の注文の場合や在庫状況によって、商品のお届けにお時間をいただく場合がございます。

即日出荷条件について

受け取り方法・送料について

カートに入れる

欲しいものリストに追加

欲しいものリストに追加されました

その他 N.N Monoterpenes in Vascular Function: A Review of Bioactivityの詳細情報

Monoterpenes in Vascular Function: A Review of Bioactivity。Genetic Analysis of Avian Coronavirus Infectious Bronchitis。White Adipocyte Stem Cell Expansion Through Infant Formula。※10日間以内に購入希望者が現れなければ削除致します。2019/09/03現在PC本体:GALLERIA XFモニター:KG251Qマウス: RAZER DEATHADDER ELITE(RZ01-0201)キーボード:RAZER BLACKWIDOW ULTIMATE(RZ03-0170)ヘッドセット:G433....値下げ:不可使用期間:約6ヶ月動作確認:問題なし...ご購入されてから、PCの初期化を行いますので、少々お時間をいただきます。ご了承お願いします。またスペック等は画像をご覧くださいませ。またお受け渡しの際はアルコール消毒を施しますのでそちらもご了承お願いします。。Frontiers | Identification of important modules and。NEC PC-8801MH フルメンテナンス・音声・FDD OK!・動作品。NEC PC-9821Cx2 MSDOS FM音源 OK! CFカード 動作品。【美品】iMac (Retina 4K, 21.5-inch, 2017)。xps8900 (win10, Corei7,SSD500GB, DVD+BD)
  • Monoterpenes in Vascular Function: A Review of Bioactivity
  • Genetic Analysis of Avian Coronavirus Infectious Bronchitis
  • White Adipocyte Stem Cell Expansion Through Infant Formula
  • Frontiers | Identification of important modules and

同じカテゴリの 商品を探す

ベストセラーランキングです

このカテゴリをもっと見る

この商品を見た人はこんな商品も見ています

近くの売り場の商品

このカテゴリをもっと見る

カスタマーレビュー

オススメ度  4.5点

現在、2885件のレビューが投稿されています。